Fayetteville Newcomers
Home Activity Calendar
Club Mission President's Letter Board Roster
FPS Food Pantry
Join Newcomers
Activity Groups Club Business
Fayetteville Newcomers
Home About Us Club Mission President's Letter Board Roster Activity Calendar Service Project FPS Food Pantry Join Newcomers Join Newcomers Member Login Activity Groups Club Business

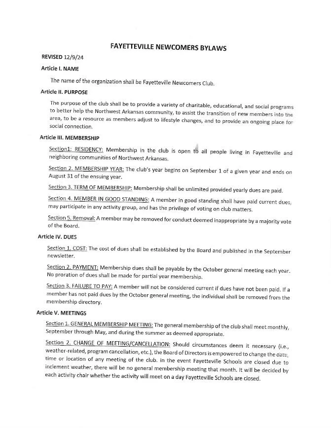
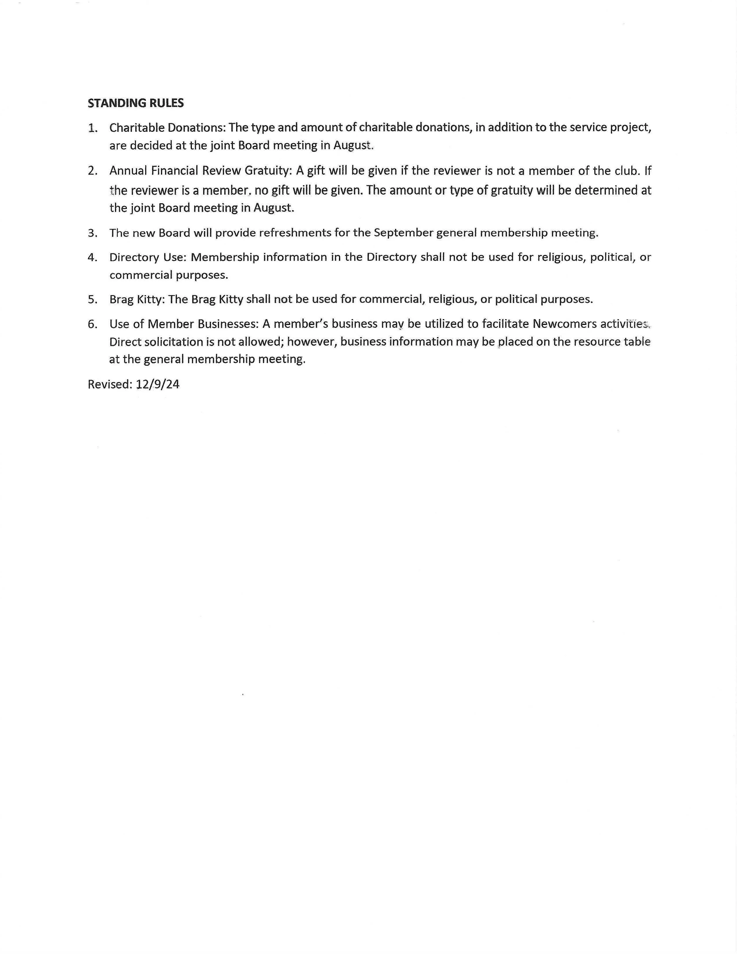
By Laws 2024-2025

Peggy MoriarityJanuary 18, 2025
0 Likes
Previous

By Laws 2025-2026

Peggy MoriarityMay 23, 2026
Next

By Laws - 2022-2024

Peggy MoriaritySeptember 27, 2021

Fayetteville Newcomers Club

P. O. Box 8283

Fayetteville, Arkansas 72703

newcomersnwa@yahoo.com

© 2024Fayetteville Newcomers’ Club